TA for Advanced Mathematics D 2024 Fall
Undergraduate Public Course, Peking University, School of Mathematical Sciences, 2024
Welcome to the course Advanced Mathematics D 2024 Fall by Professor Zuoli Xiao and I am glad to be your TA in this semester. This area is prepared for collection of relevant files. You can find the textbooks, lecture notes and solutions to homework and exams of this course here.
Textbooks
Lecture Notes
Classical Lecture Notes by Yantong Xie for Advanced Mathematics B
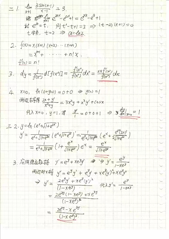
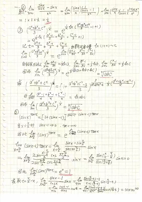
Solutions to Homework
Midterm Exams
Midterm Exam 2019 with Solutions
Final Exams
Final Exam 2021 with Solutions
Final Exam 2022A with Solutions
